Snowcreek Neighborhood District Plan (NDP)
 
            Project Description: "The Snowcreek District contains approximately 440 acres, and includes all eight phases of the Snowcreek project including the Snowcreek VIII project site, currently under consideration. Ninety-four (94) acres forming the eastern boundary of the District are part of a Land Exchange with the USFS. In connection with the land trade, a covenant was placed on the property that restricts future uses to 'recreation, open space, and appropriate ancillary uses.' The proposed development program...for approximately 237 acres includes: 850 residential high, medium and low-density dwelling units, including stacked flats and townhomes; a full-service hotel with 400 hotel rooms/suites, Private Residents' Club, restaurants, wellness center, pool, spa, and an ice rink; up to 75,000 square feet of non-residential uses; a welcome center with a nature/historic interpretive center; an 18-hole golf course and golf club with pro-shop and café; a swim club and snack bar; and an outfitter's cabin." – from "Study Area Definition and Jurisdictional Characteristics" and "Introduction"
Snowcreek Neighborhood District Plan (24MB)
The goal of a Neighborhood District Plan, as directed by the Town of Mammoth Lakes Town Council, is “to determine the specific, form, function, and character of an area”. The Snowcreek District Plan herein provides guidance for the future development of the Snowcreek District.
MLTPA Map #1, Snowcreek NDP, Close view (596KB)
Snowcreek Neighborhood District Plan Map #1, close view, as prepared by MLTPA.
MLTPA Map #2, Snowcreek NDP, Wide view (626KB)
Snowcreek Neighborhood District Plan Map #2, wide view, as prepared by MLTPA.
MLTPA comments - Snowcreek NDP - Apr 29, 2008 (15KB)
In April 2008, MLTPA provided written comments to the Town of Mammoth Lakes on the Snowcreek Neighborhood District Plan.
MLTPA comments - Snowcreek NDP - Aug 13, 2008 (17KB)
In September of 2008, MLTPA provided written comments to the Town of Mammoth Lakes on the Snowcreek Neighborhood District Plan.
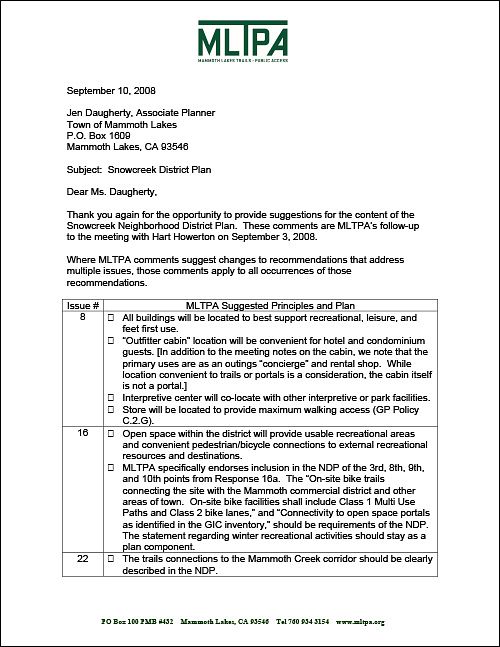
MLTPA comments - Snowcreek NDP - Sept 10, 2008 (16KB)
In September of 2008, MLTPA provided written comments to the Town of Mammoth Lakes on the Snowcreek Neighborhood District Plan.
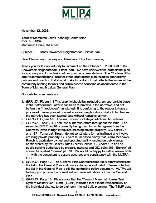
MLTPA comments - Snowcreek NDP - Nov 12, 2008 (16KB)
In November of 2008, MLTPA provided written comments to the Town of Mammoth Lakes on the Snowcreek Neighborhood District Plan.
MLTPA comments errata - Snowcreek NDP - Jan 8, 2009 (94KB)
In January of 2009 MLTPA provided corrections to comments about the Snowcreek Neighborhood District Plan.
Last updated November 7, 2024

 
										
                                    
                                
                                     
										
                                    
                                
                                     
										
                                    
                                
                                     
										
                                    
                                
                                     
										
                                    
                                
                                     
										
                                    
                                
                                     
										
                                    
                                
                                    